"มีความมั่นคง ซื่อตรงในบริการ บริหารเพื่อเพื่อนครู"

ระบบสมาชิก

ผู้บริหาร

 

 

เมนูหลัก

ข้อมูลสมาชิก

ณ 31 มกราคม 2569
จำนวนสมาชิกสหกรณ์
สมาชิกสามัญ 9,915 คน
สมาชิกสมทบ 4,110 คน
รวม 14,025 คน
จำนวนสมาชิกฌาปนกิจ
ส.ส.ก.กองที่ 1 10,100 คน
ส.ส.ก.กองที่ 2 5,050 คน
ส.ส.ก.กองที่ 3 5,050 คน
ส.ส.ก.กองที่ 4 5,050 คน
ส.ส.ก.กองที่ 5 5,050 คน
ส.ส.ก.กองที่ 6 5,050 คน
ส.ส.ก.กองที่ 7 4,739 คน
ส.ส.ก.กองที่ 8 3,357 คน
ส.ส.ก.กองที่ 9 2,525 คน
ศูนย์ประสานงานฯ (สอ.กพ.)
สสอค. 7,784 คน
สส.ชสอ. 7,212 คน
สฌอน. 5,035 คน
สสอน. 806 คน
สส.สท. 866 คน
สส.สก. 578 คน
อัตราดอกเบี้ยเงิกู้
เงินกู้สามัญ 4.40 ต่อปี
เงินกู้โควิด 4.20 ต่อปี
เงินกู้ฉุกเฉิน 4.40 ต่อปี
เงินกู้เพื่อดำรงชีพ 4.00 ต่อปี
เงินกู้เพื่อชำระเงินสงเคราะห์ฯ 4.20 ต่อปี
อัตราดอกเบี้ยเงินฝาก
ออมทรัพย์ 1.70 ต่อปี
ออมทรัพย์พิเศษ 2.30 ต่อปี
ออมทรัพย์พิเศษสหกรณ์อื่น 2.15 ต่อปี
 

 

E-service

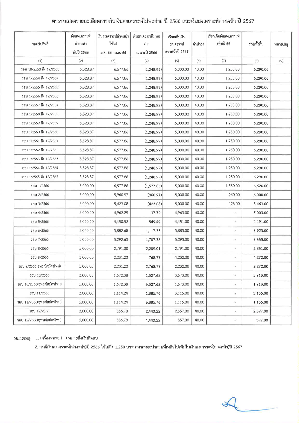
ประกาศ การเก็บเงินสงเคราะห์สำหรับปีบัญชี 2567 (สสอค.)

ประกาศ การเก็บเงินสงเคราะห์สำหรับปีบัญชี 2567 (สสอค.)

ข่าวประชาสัมพันธ์ : เผยแพร่โดย : Super administrator View : 3947